Find the direction cosines of the normal to the plane

Question:

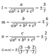
Find the direction cosines of the normal to the plane $3 x-6 y+2 z=7$.

Solution:

Leave a comment