Find the direction cosines of the normal to the plane

Question:

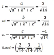
Find the direction cosines of the normal to the plane $2 x+3 y-z=4$.

Solution:

Leave a comment