Find the direction cosines of the vector

Question:

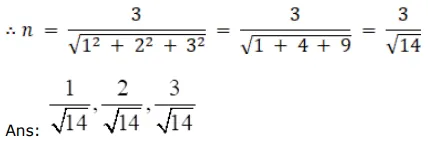
Find the direction cosines of the vector $\overrightarrow{\mathrm{a}}=(\hat{\mathrm{i}}+2 \hat{\mathrm{j}}+3 \hat{\mathrm{k}})$

Solution:

Leave a comment