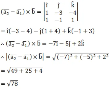
Question:
Find the distance between the parallel lines $L_{1}$ and $L_{2}$ whose vector equations are
$\overrightarrow{\mathrm{r}}=(\hat{\mathrm{i}}+2 \hat{\mathrm{j}}+3 \hat{\mathrm{k}})+\lambda(\hat{\mathrm{i}}-\hat{\mathrm{j}}+\hat{\mathrm{k}})$, and $\overrightarrow{\mathrm{r}}=(2 \hat{\mathrm{i}}-\hat{\mathrm{j}}-\hat{\mathrm{k}})+\mu(\hat{\mathrm{i}}-\hat{\mathrm{j}}+\hat{\mathrm{k}})$
Solution:





