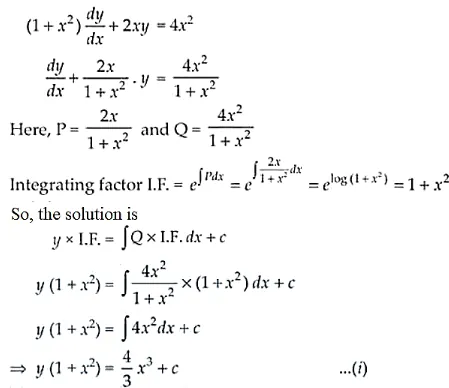
Find the equation of a curve passing through origin

Question:

Find the equation of a curve passing through origin and satisfying the differential equation

$\left(1+x^{2}\right) \frac{d y}{d x}+2 x y=4 x^{2}$

Solution:

Given equation,

Leave a comment