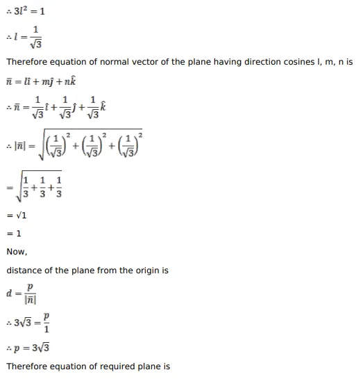
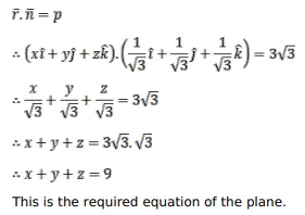
Find the equation of a plane which is at a distance
Question:
Find the equation of a plane which is at a distance of $3 \sqrt{3}$ units from the origin and the normal to which is equally inclined to the coordinate axes.
Solution:


