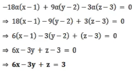
Find the equation of the plane passing through the points
Download now India's Best Exam Prepration App
Class 8-9-10, JEE & NEET
Video Lectures
Live Sessions
Study Material
Tests
Previous Year Paper
Revision
Question:
Find the equation of the plane passing through the points $(1,2,3)$ and $(0,-1,0)$ and parallel to the line $\frac{x-1}{2}=\frac{y+2}{3}=\frac{z}{-3}$.