Find the equation of the tangent at

Question:

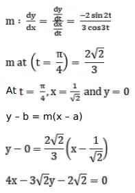
Find the equation of the tangent at $t=\frac{\pi}{4}$ for the curve $x=\sin 3 t, y=\cos 2 t$

Solution:

Leave a comment