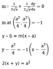
Find the equation of the tangent to the curve

Question:

Find the equation of the tangent to the curve $\sqrt{x}+\sqrt{y}=a$ at $\left(\frac{a^{2}}{4}, \frac{a^{2}}{4}\right)$

Solution:

Leave a comment