Find the equation of the tangent to the curve

Question:

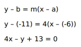
Find the equation of the tangent to the curve $x^{2}+3 y=3$, where is parallel to the line $y-4 x+5=0$.

Solution:

Leave a comment