Find the equation of the tangents to the curve

Question:

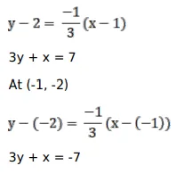
Find the equation of the tangents to the curve $2 x^{2}+3 y^{2}=14$, parallel to the line $x=3 y=4$.

Solution:

Leave a comment