Find the equations of the tangent and the normal to the given curve at the indicated point for

Question:

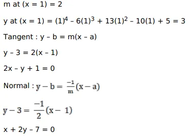
Find the equations of the tangent and the normal to the given curve at the indicated point for

$y=x^{4}-6 x^{3}+13 x^{2}-10 x+5$ at the point where $x=1$

Solution:

Leave a comment