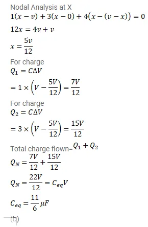
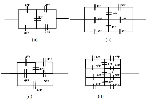
Find the equivalent capacitance of the combination of

Question:

Find the equivalent capacitance of the combination of the combination shown in figure between the indicated points.

Solution:

Leave a comment