Find the equivalent resistance of the network shown in figure

Question:

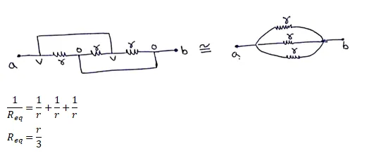
Find the equivalent resistance of the network shown in figure ( $32-\mathrm{E} 7)$ between the points a and $b$.

Solution:

Leave a comment