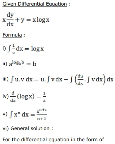
Find the general solution for each of the following differential equations.

Question:

Find the general solution for each of the following differential equations.

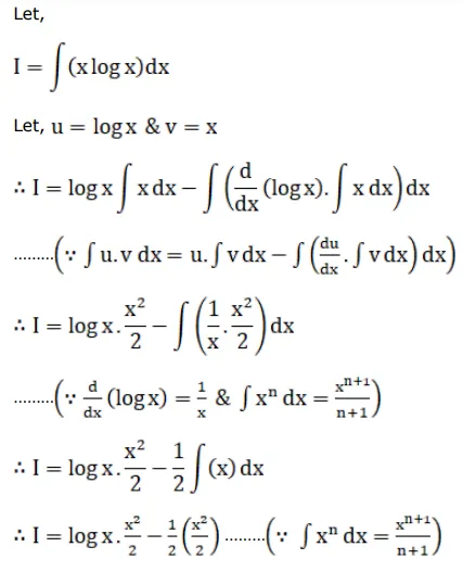
$x \frac{d y}{d x}+y=x \log x$

Solution:

Leave a comment