Find the general solution for each of the following differential equations.

Question:

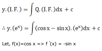
Find the general solution for each of the following differential equations.

$\frac{d y}{d x}+y=\cos x-\sin x$

Solution:

Leave a comment