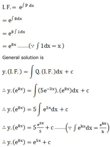
Find the general solution for each of the following differential equations.

Question:

Find the general solution for each of the following differential equations.

$\frac{d y}{d x}+8 y=5 e^{-3 x}$

Solution:

Leave a comment