Find the general solution for each of the following differential equations.
Question:
Find the general solution for each of the following differential equations.
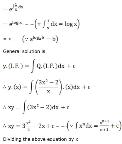
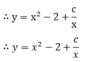
$x \frac{d y}{d x}+y=3 x^{2}-2, x>0$
Solution:




