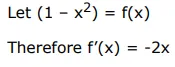
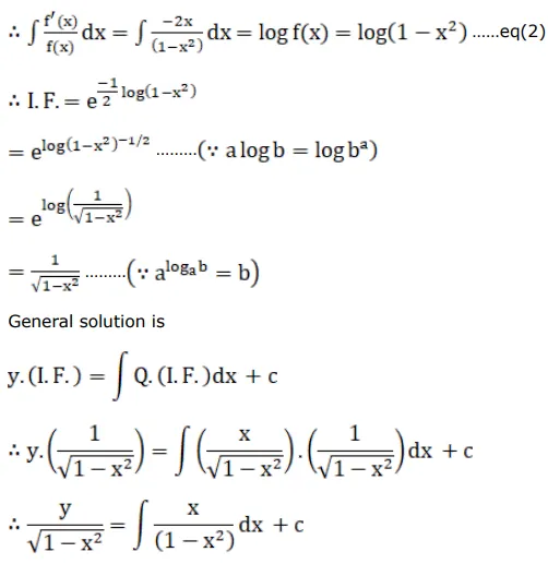
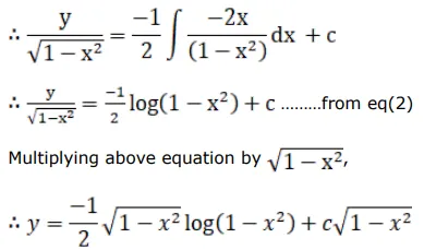
Find the general solution for each of the following differential equations.
Question:
Find the general solution for each of the following differential equations.
$\left(1-x^{2}\right) \frac{d y}{d x}+x y=x \sqrt{1-x^{2}}$
Solution:





