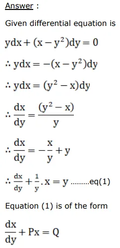
Find the general solution for each of the following differential equations.
Question:
Find the general solution for each of the following differential equations.
$y d x+\left(x-y^{2}\right) d y=0$
Solution:




