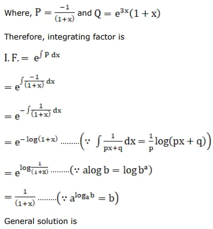
Find the general solution for each of the following differential equations.

Question:

Find the general solution for each of the following differential equations.

$(1+x) \frac{d y}{d x}-y=e^{3 x}(1+x)^{2}$

Solution:

Leave a comment