Find the general solution for each of the following differential equations.

Question:

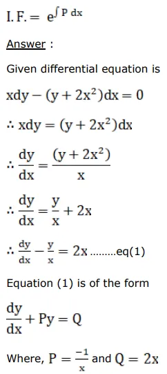
Find the general solution for each of the following differential equations.

$x d y-\left(y+2 x^{2}\right) d x=0$

 

Solution:

Given Differential Equation :

Leave a comment