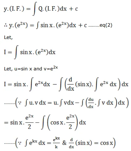
Find the general solution for each of the following differential equations.

Question:

Find the general solution for each of the following differential equations.

$\frac{d y}{d x}+2 y=\sin x$

Solution:

General solution is

Leave a comment