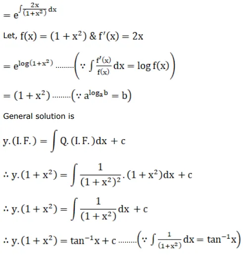
Find the general solution for each of the following differential equations.
Question:
Find the general solution for each of the following differential equations.
$\left(1+x^{2}\right) \frac{d y}{d x}+2 x y=\frac{1}{\left(1+x^{2}\right)}$
Solution:
Given Differential Equation :




