Find the general solution for each of the following differential equations.
Question:
Find the general solution for each of the following differential equations.
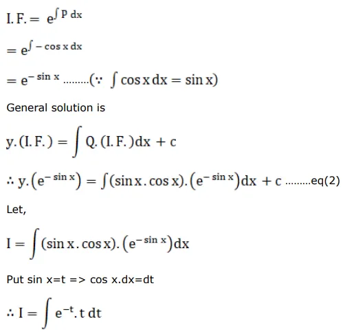
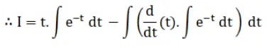
$\sec x \frac{d y}{d x}-y=\sin x$
Solution:






