Find the general solution for each of the following differential equations.

Question:

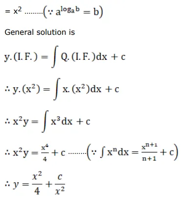
Find the general solution for each of the following differential equations.

$x \frac{d y}{d x}+2 y=x^{2}$

Solution:

Leave a comment