Find the general solution for each of the following differential equations.

Question:

Find the general solution for each of the following differential equations.

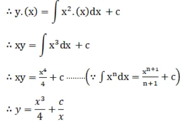
$\frac{d y}{d x}+\frac{1}{x} \cdot y=x^{2}$

Solution:

Leave a comment