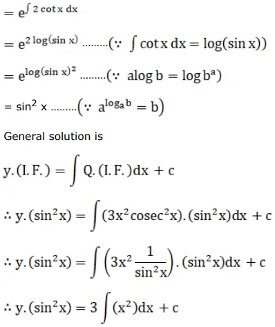
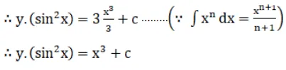
Find the general solution for each of the following differential equations.
Question:
Find the general solution for each of the following differential equations.
$\frac{d y}{d x}+2 y \cot x=3 x^{2} \operatorname{cosec}^{2} x$
Solution:




