Find the general solution for each of the following differential equations.

Question:

Find the general solution for each of the following differential equations.

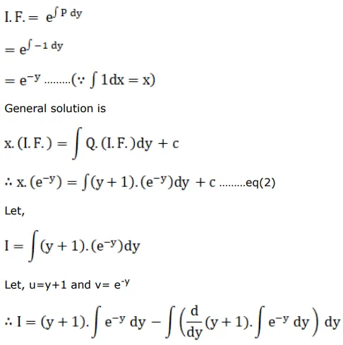
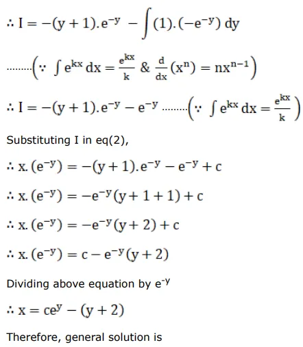
$(x+y+1) \frac{d y}{d x}=1$

Solution:

Leave a comment