Find the general solution for each of the following differential equations.

Question:

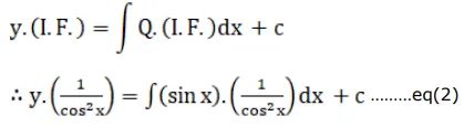
Find the general solution for each of the following differential equations.

$\frac{d y}{d x}+2 y \tan x=\sin x$

Solution:

Leave a comment