Find the general solution for each of the following differential equations.

Question:

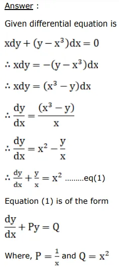
Find the general solution for each of the following differential equations.

$x d y+\left(y-x^{3}\right) d x=0$

Solution:

Therefore, integrating factor is

Leave a comment