Find the general solution for each of the following differential equations.

Question:

Find the general solution for each of the following differential equations.

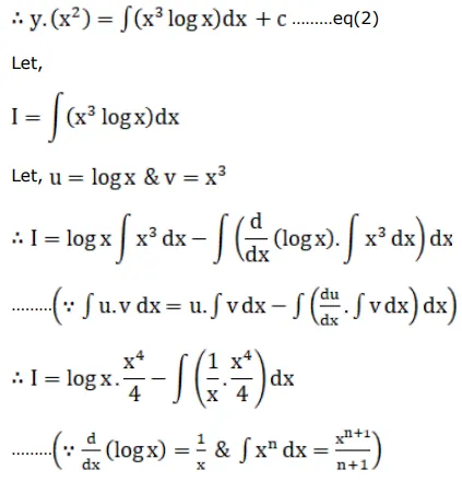
$x \frac{d y}{d x}+2 y=x^{2} \log x$

Solution:

Leave a comment