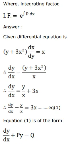
Find the general solution for each of the following differential equations.
Question:
Find the general solution for each of the following differential equations.
$\left(y+3 x^{2}\right) \frac{d x}{d y}=x$
Solution:
$\underline{\text { Given Differential Equation : }}$



