Find the general solution for each of the following differential equations.

Question:

Find the general solution for each of the following differential equations.

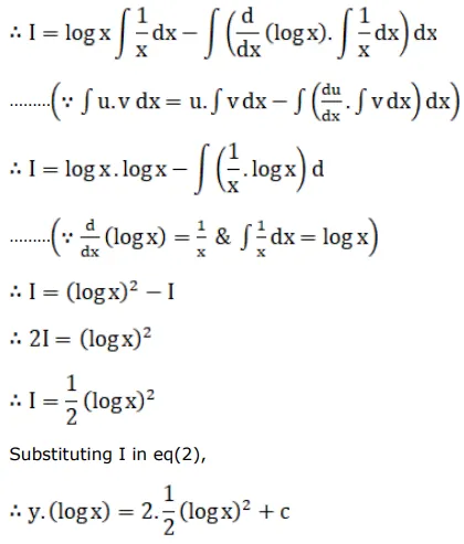
$(x \log x) \frac{d y}{d x}+y=2 \log x$

Solution:

Leave a comment