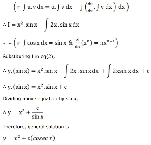
Find the general solution for each of the following differential equations.
Question:
Find the general solution for each of the following differential equations.
$\frac{d y}{d x}+y \cot x=x^{2} \cot x+2 x$
Solution:




