Find the general solution of

Question:

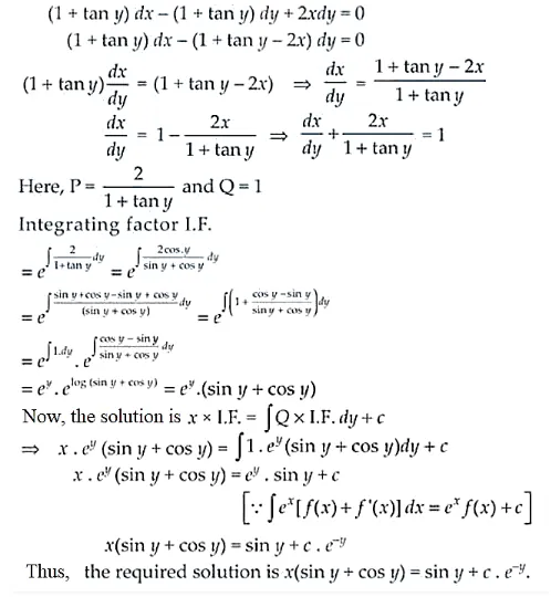
Find the general solution of (1 + tan y) (dx – dy) + 2xdy = 0.

Solution:

Given, (1 + tan y) (dx – dy) + 2xdy = 0

Leave a comment