Find the general solution of

Question:

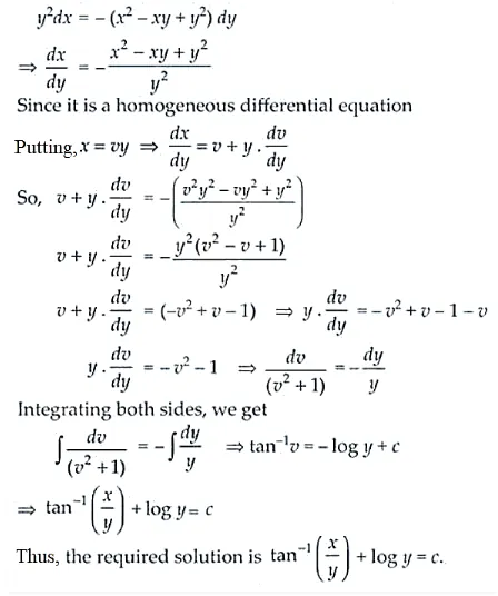
Find the general solution of y2dx + (x2 – xy y2dy = 0.

Solution:

Given equation, y2dx + (x2 – xy y2dy = 0

Leave a comment