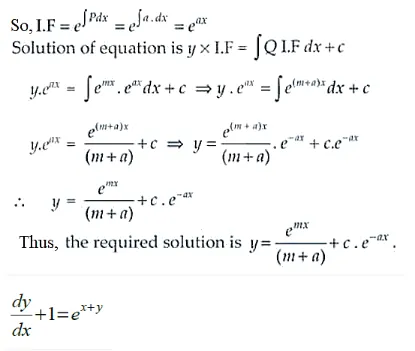
Find the general solution of

Question:

Find the general solution of

$\frac{d y}{d x}+a y=e^{m x}$

Solution:

Given equation, dy/dx + ay = emx

Solving for linear differential equation of first order, we have

P = a and Q = emx

Leave a comment