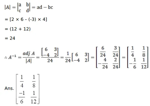
Find the inverse of each of the matrices given below.

Question:

Find the inverse of each of the matrices given below.

$\left[\begin{array}{cc}2 & -3 \\ 4 & 6\end{array}\right]$

Solution:

Leave a comment