Find the inverse of each of the matrices given below.

Question:

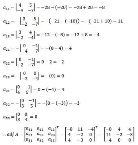
Find the inverse of each of the matrices given below.

$\left[\begin{array}{ccc}0 & 0 & -1 \\ 3 & 4 & 5 \\ -2 & -4 & -7\end{array}\right]$

Solution:

Leave a comment