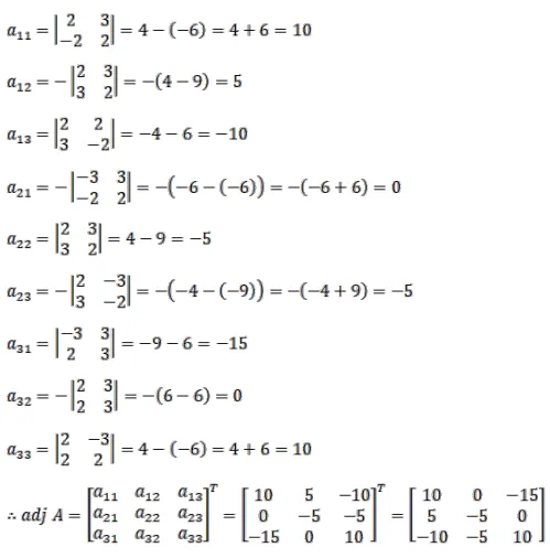
Find the inverse of each of the matrices given below.
Question:
Find the inverse of each of the matrices given below.
$\left[\begin{array}{ccc}2 & -3 & 3 \\ 2 & 2 & 3 \\ 3 & -2 & 2\end{array}\right]$
Solution:



Ans. $\frac{1}{5} \cdot\left[\begin{array}{ccc}-2 & 0 & 3 \\ -1 & 1 & 0 \\ 2 & 1 & -2\end{array}\right]$