Find the inverse of each of the matrices given below.

Question:

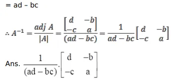
Find the inverse of each of the matrices given below.

$\left[\begin{array}{ll}a & b \\ c & d\end{array}\right]$, when $(a b-b c) \neq 0$

Solution:

Leave a comment