Question:
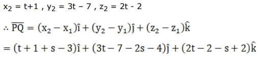
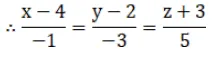
Find the length and the equations of the line of shortest distance between the lines given by:
$\frac{x-3}{-1}=\frac{y-4}{2}=\frac{z+2}{1}$ and $\frac{x-1}{1}=\frac{y+7}{3}=\frac{z+2}{2}$.
Solution:






