Find the length and the foot of the perpendicular drawn from the point

Question:

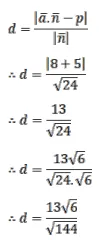
Find the length and the foot of the perpendicular drawn from the point $(1,1,2)$ to the plane $\bar{r} \cdot(2 \hat{i}-2 \hat{j}+4 \hat{k})+5-0$.

Solution:

Leave a comment