Question:
Find the mean of each of the following frequency distributions :

Solution:
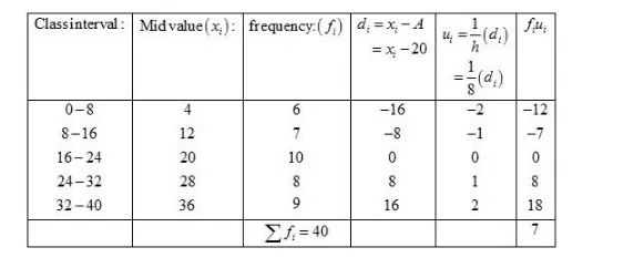
Let the assumed mean be A = 20 and h = 8.

We know that mean, $\bar{X}=A+h\left(\frac{1}{N} \sum f_{i} u_{i}\right)$
Now, we have $N=\sum f_{i}=40, \sum f_{i} u_{i}=7, h=8$ and $A=20$.
Putting the values in the above formula, we get
$\bar{X}=A+h\left(\frac{1}{N} \sum f_{i} u_{i}\right)$
$=20+8\left(\frac{1}{40} \times(7)\right)$
$=20+\frac{56}{40}$
$=20+1.4$
$=21.4$
Hence, the mean is 21.4.