Find the missing frequency p for the following frequency distribution whose mean is 28.25.
Question:
Find the missing frequency p for the following frequency distribution whose mean is 28.25.

Solution:
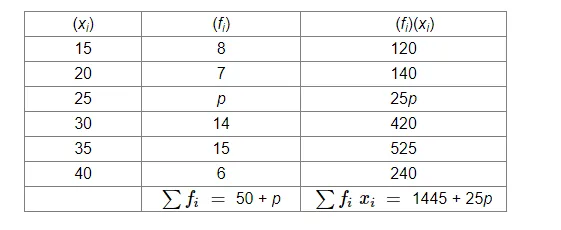
We will prepare the following table:

Thus, we have:
Mean $=\frac{\sum f_{i} x_{i}}{\sum x_{i}}$
$\Rightarrow 28.25=\frac{1445+25 p}{50+p}$
$\Rightarrow 28.25(50+p)=(1445+25 p)$
$\Rightarrow 1412.5+28.25 p=1445+25 p$
$\Rightarrow 3.25 p=32.5$
$\Rightarrow p=10$