Find the points on the curve

Question:

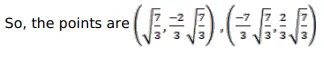
Find the points on the curve $y=x^{3}-3 x$, where the tangent to the curve is parallel to the chord joining (1, $-2)$ and $(2,2)$.

Solution:

Leave a comment