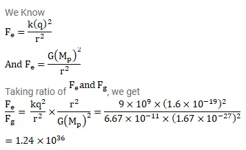
Find the ratio of the electric and gravitational forces

Question:

Find the ratio of the electric and gravitational forces between two protons.

Solution:

Leave a comment