Find the real values of x and y, if
Find the real values of x and y, if
(i) $(x+i y)(2-3 i)=4+i$
(ii) $(3 x-2 i y)(2+i)^{2}=10(1+i)$
(iii) $\frac{(1+i) x-2 i}{3+i}+\frac{(2-3 i) y+i}{3-i}$
(iv) $(1+i)(x+i y)=2-5 i$
(i) $(x+i y)(2-3 i)=4+i$
$2 x-3 i x+2 i y-3 i^{2} y=4+i$
$2 x+3 y+i(-3 x+2 y)=4+i$
Comparing both the sides:
$2 x+3 y=4 \quad \ldots .(1)$
$-3 x+2 y=1 \quad \ldots .(2)$
Multiplying equation (1) by 3 and equation (2) by 2 :
$6 x+9 y=12 \quad \ldots(3)$
$-6 x+4 y=2 \quad \ldots(4)$
Adding equations$(3)$ and $(4)$ :
$13 y=14$
$y=\frac{14}{13}$
Substituting the value of $y$ in equation $(1)$ :
$2 x+3 \times \frac{14}{13}=4$
$\Rightarrow 2 x=4-\frac{42}{13}$
$\Rightarrow 2 x=\frac{10}{13}$
$\Rightarrow x=\frac{5}{13}$
$\therefore x=\frac{5}{13}$ and $y=\frac{14}{13}$
(ii) $(3 x-2 i y)(2+i)^{2}=10(1+i)$
$\Rightarrow(3 x-2 i y)\left(4+i^{2}+4 i\right)=10(1+i)$
$\Rightarrow(3 x-2 i y)(3+4 i)=10(1+i)$
$\Rightarrow 9 x+12 x i-6 i y-8 i^{2} y=10+10 i$
$\Rightarrow 9 x+8 y+i(12 x-6 y)=10+10 i$
Comparing both the sides :
$9 x+8 y=10 \quad \ldots .(1)$
$12 x-6 y=10$
or, $6 x-3 y=5 \quad \ldots(2)$
Multiplying equation $(1)$ by 3 and equation $(2)$ by 8 ,
$27 x+24 y=30$ ...(3)
$48 x-24 y=40$ .....(4)
Adding equations $(3)$ and $(4)$ :
$75 x=70$
$\therefore x=\frac{14}{15}$
Substituting the value of $x$ in equation $(1):$
$9 \times \frac{14}{15}+8 y=10$
$\Rightarrow \frac{126}{15}+8 y=10$
$\Rightarrow 8 y=10-\frac{126}{15}$
$\Rightarrow 8 y=\frac{24}{15}$
$\Rightarrow y=\frac{1}{5}$
(iii) $\frac{(1+i) x-2 i}{3+i}+\frac{(2-3 i) y+i}{3-i}=i$
$\Rightarrow \frac{(1+i)(3-i) x-2 i(3-i)+(2-3 i)(3+i) y+i(3+i)}{(3+i)(3-i)}=i$
$\Rightarrow \frac{3 x-i x+3 i x-i^{2} x-6 i+2 i^{2}+6 y+2 i y-9 i y-3 i^{2} y+3 i+i^{2}}{9-i^{2}}=i$
$\Rightarrow \frac{4 x+2 i x-3 i+9 y-7 i y-3}{10}=i$
$\Rightarrow(4 x+9 y-3)+i(2 x-3-7 y)=10 i$
Comparing both the sides :
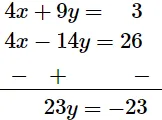
$4 x+9 y-3=0$
$\Rightarrow 4 x+9 y=3$ ...(1)
$2 x-3-7 y=10$
$\Rightarrow 2 x-7 y=13$ ,....(2)
Multiplying equation $(2)$ by 2 :
$4 x-14 y=26 \quad \ldots(3)$
Subtracting equation $(3)$ from $(1)$ :

$\therefore y=-1$
Substituting the value of $y$ in equation $(1):$
$4 x-9=3$
$\Rightarrow 4 x=12$
$\Rightarrow x=3$
$\therefore x=3$ and $y=-1$
(iv) $(1+i)(x+i y)=2-5 i$
$\Rightarrow x+i y+i x+i^{2} y=2-5 i$
$\Rightarrow x+i y+i x-y=2-5 i$
$\Rightarrow(x-y)+i(y+x)=2-5 i$
Comparing both the sides,
$x-y=2$ ....(1)
$x+y=-5$ ....(2)
Adding equations $(1)$ and $(2)$,
$2 x=-3$
$\Rightarrow x=\frac{-3}{2}$
Substituting the value of $x$ in equation $(1)$,
$\frac{-3}{2}-y=2$
$\Rightarrow y=\frac{-3}{2}-2$
$\Rightarrow y=\frac{-7}{2}$
$\therefore x=\frac{-3}{2}$ and $y=\frac{-7}{2}$