Question:
Find the shortest distance between the given lines.
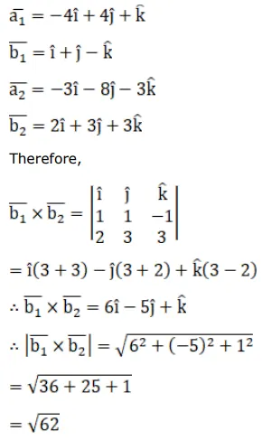
$\overrightarrow{\mathrm{r}}=(-4 \hat{\mathrm{i}}+4 \hat{\mathrm{j}}+\hat{\mathrm{k}})+\lambda(\hat{\mathrm{i}}+\hat{\mathrm{j}}-\hat{\mathrm{k}})$
$\overrightarrow{\mathrm{r}}=(-3 \hat{\mathrm{i}}-8 \hat{\mathrm{j}}-3 \hat{\mathrm{k}})+\mu(2 \hat{\mathrm{i}}+3 \hat{\mathrm{j}}+3 \hat{\mathrm{k}})$
Solution:




